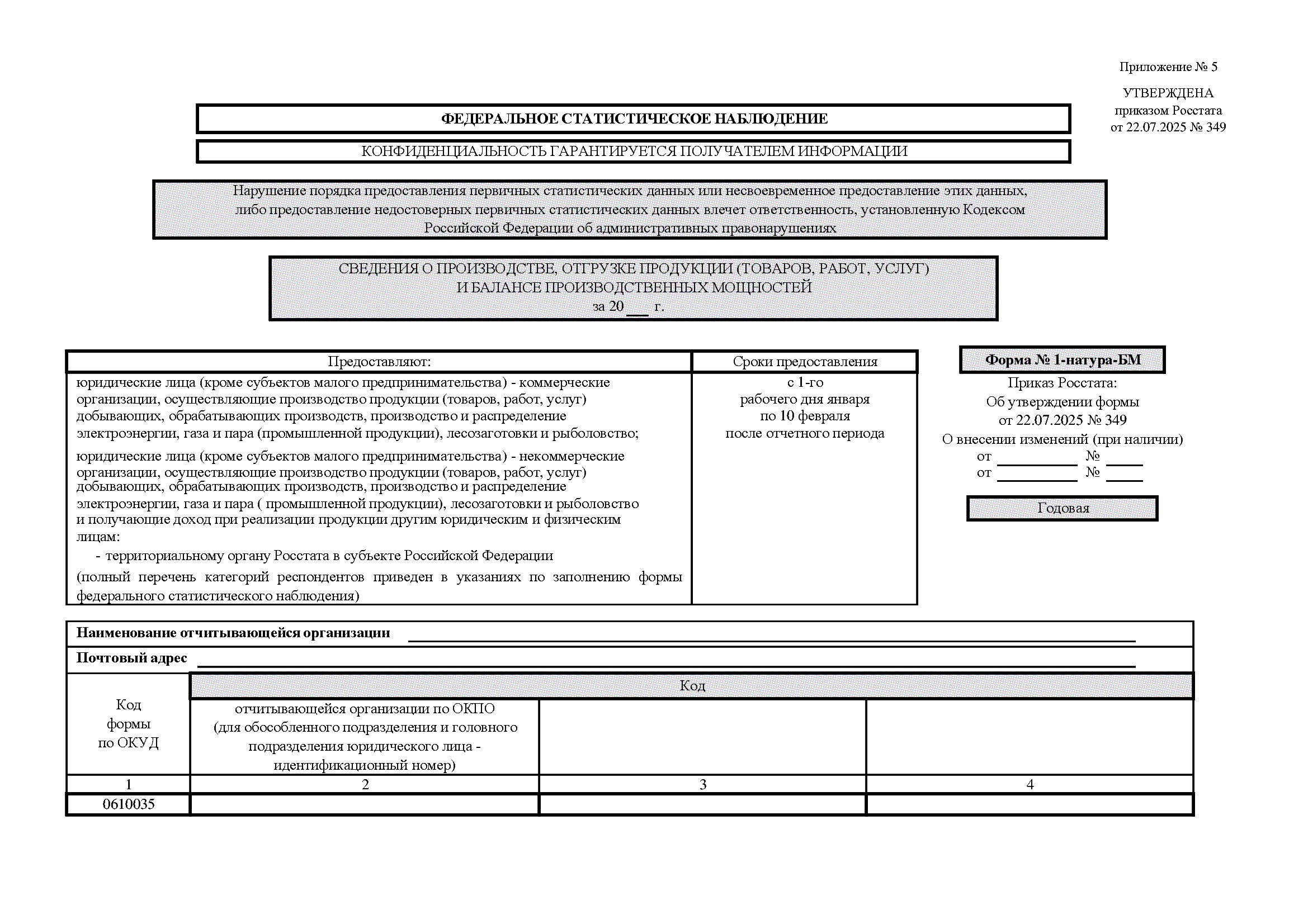
Форма 1-натура-БМ. Сведения о производстве, отгрузке продукции и балансе производственных мощностей от 22.07.2025 N 349
Форма утверждена:
Сведения о производстве, отгрузке продукции и балансе производственных мощностей по форме 1-натура-БМ.
Отчет предоставляется юридическими лицами всех форм собственности - коммерческими организациями, осуществляющими производство продукции (товаров, работ, услуг) добывающих, обрабатывающих производств, производство и распределение электроэнергии, газа и пара, лесозаготовки и рыболовство, а также некоммерческие организации, производящие указанные виды продукции для реализации другим юридическим и физическим лицам.
Сведения сдаются в территориальный орган Росстата в субъекте Российской Федерации по установленному им адресу.
Срок подачи отчета:с 1-го рабочего дня января по 10 февраля после отчетного периода.
Периодичность подачи отчета: годовая.
Код по классификатору:
ОКУД 0610035
Индекс формы:
1-натура-БМ
